- Najłatwiej udowodnić to czego nikt nie rozumie. Zwłaszcza gdy wystarczy udowodnić tak by nadal nikt nie rozumiał. A właśnie tak dowodzi się w fizyce współczesnej.
- Nadal są ludzie którzy nie wiedzą że słyszą antysamoloty.
A przecież nie można nie słyszeć antysamolotu słuchając samolotu wyprzedzającego dźwięk.
- Zobacz jak słyszymy naddźwiękowy samolot.
Bez tachionów o antymaterii można tylko matematyczne bajki opowiadać
- Einstein niewyobrażalny eter zastąpił niewyobrażalnym światłem.
- Dlaczego Einstein, a za nim inni, uważają że eter trzeba sobie wyobrazić a światła (pola) nie? - Przecież "pole" to tylko matematycznie inny opis eteru (lub innego ośrodka). To jego opis polowy.
- Świat obiektywny spostrzec można tylko sygnałami nieskończenie szybkimi.
- Sygnałami o skończonych szybkościach spostrzegamy tylko jego różne, różnie opóźnione i zniekształcone obrazy.
- Nie osiągnie ważnego wyniku ten, kto zatrzymał się przed barierą c.
Będzie przed nią dreptał, wymyślał nowe filozofie lub matematyki.
- Twórcy renormalizacji dostali Nobla . . .
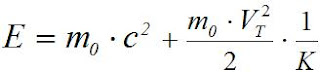
Zbudowałem euklidesową teorię względności
z takim wzorem na jego relatywistyczną energię E=mc2. - Zobacz.
A fizyk współczesny, gdy nie może czegoś zrozumieć, wyobrazić sobie, nie popada w depresję ale w kosmologiczną matematykę. A często także w filozofie Wschodu. Fizycy są otumanieni matematyką. - Matematyka to za mało - to nie fizyka.
Einstein rezygnując z niewyobrażalnego eteru zaakceptował niewyobrażalne światło i niewyobrażalny świat - zafundował nam jego niewyobrażalną fizykę.

